Lưu Huỳnh (Sulfur) là một nguyên tố hóa học cơ bản, quen thuộc nhưng cực kỳ quan trọng trong nhiều ngành công nghiệp và sinh học. Bạn có thắc mắc tại sao chất rắn màu vàng tươi này lại có mùi đặc trưng như trứng thối khi cháy, hay nó lại là nguyên liệu chủ chốt để sản xuất Acid Sulfuric (H2SO4) – “máu” của ngành công nghiệp hóa chất? Bài viết này, CLEANTECH sẽ giải mã chi tiết lưu huỳnh là gì, khám phá các đặc điểm, tính chất và tổng hợp những ứng dụng quan trọng nhất của nó trong đời sống và sản xuất.
Mục lục
I. Lưu huỳnh là gì?
Lưu Huỳnh là một nguyên tố hóa học phi kim thuộc nhóm VIA (hoặc nhóm 16) trong bảng tuần hoàn.

- Ký hiệu hóa học: S (xuất phát từ tên Latin Sulphur).
- Số nguyên tử: 16.
- Trạng thái tự nhiên: Lưu huỳnh tồn tại ở dạng chất rắn, màu vàng chanh, không tan trong nước, thường được tìm thấy gần các miệng núi lửa và suối nước nóng.
- Trạng thái thù hình của lưu huỳnh:
- Lưu Huỳnh Tà Phương (S alpha): Dạng bền vững nhất ở nhiệt độ phòng (25 độ C). Cấu trúc gồm các vòng S8.
- Lưu Huỳnh Đơn Tà (S beta): Dạng bền vững ở nhiệt độ trên 95.6 độ C. Cấu trúc cũng gồm các vòng S8 nhưng được sắp xếp khác đi.
II. Tính chất vật lý và hóa học của lưu huỳnh
Để hiểu rõ vai trò đa dạng của Lưu Huỳnh trong công nghiệp và sinh học, chúng ta cần phân tích các tính chất vật lý đặc trưng và đặc biệt là các phản ứng hóa học của nó.

1. Tính chất vật lý
| Tính Chất | Mô Tả |
| Màu sắc | Vàng chanh tươi. |
| Trạng thái | Chất rắn, không mùi ở nhiệt độ thường (Mùi trứng thối là do hợp chất H2S sinh ra từ Sulfur). |
| Khối lượng riêng | 2.07 g/cm3 (dạng Tà Phương). |
| Nhiệt độ nóng chảy | Khoảng 113 độ C |
| Khả năng hòa tan | Không tan trong nước, tan ít trong cồn, tan tốt trong CS2 (Carbon disulfide). |
2. Tính Chất Hóa Học (Tính Oxi Hóa và Tính Khử)
Lưu huỳnh là một phi kim, trong các hợp chất có số oxi hóa từ -2 (như H2S), 0 (dạng đơn chất), +4 (như SO2) đến +6 (như H2SO4). Do đó, lưu huỳnh thể hiện cả tính oxi hóa và tính khử.
A. Tính Oxi Hóa (Phản ứng với kim loại và Hydro)
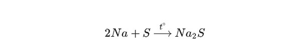
Lưu huỳnh thể hiện tính oxi hóa khi phản ứng với các chất có tính khử mạnh hơn, điển hình là kim loại và Hydro.
- Phản ứng với Kim loại: Phản ứng ở nhiệt độ cao (trừ Thủy ngân (Hg), phản ứng ở nhiệt độ thường).

Phản ứng với Hydro: Phản ứng ở nhiệt độ cao, tạo ra khí Hydrogen Sulfide (H2S) có mùi trứng thối.

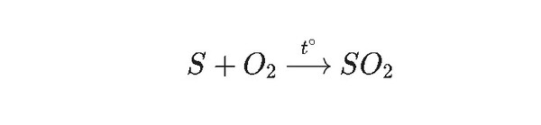
B. Tính Khử (Phản ứng với phi kim có tính oxi hóa mạnh)
Lưu huỳnh thể hiện tính khử khi phản ứng với các phi kim có tính oxi hóa mạnh hơn, điển hình là Oxy và Fluorine, thường tạo ra các hợp chất có số oxi hóa +4 hoặc +6.
- Phản ứng với Oxy (Phản ứng cháy): Tạo ra khí Lưu Huỳnh Dioxide (SO2).

Phản ứng với Acid có tính Oxi hóa mạnh: Phản ứng với H2SO4 đặc, nóng hoặc HNO3 đặc, nóng.

III. Bột lưu huỳnh có tác dụng gì?
Lưu Huỳnh có vai trò cực kỳ quan trọng trong nhiều lĩnh vực:
1. Công nghiệp hóa chất (Sản xuất H2SO4)
Đây là ứng dụng lớn nhất và quan trọng nhất:
- Nguyên liệu sản xuất Acid Sulfuric (H2SO4): Gần 90\% sản lượng Lưu Huỳnh trên thế giới được dùng để sản xuất H2SO4. Acid Sulfuric được xem là “máu” của các ngành công nghiệp, cần thiết cho sản xuất phân bón, thuốc nhuộm, giấy, chất dẻo, và luyện kim.

2. Nông nghiệp và phân bón
- Phân bón: Lưu huỳnh là một trong những nguyên tố dinh dưỡng đa lượng thứ cấp cần thiết cho cây trồng, giúp tăng cường hiệu quả sử dụng Nitơ và Photphorus. Nó được sử dụng trong các loại phân bón như Superphosphate.
- Thuốc trừ sâu và diệt nấm: Lưu huỳnh bột được sử dụng rộng rãi để kiểm soát các loại nấm mốc, bọ ve và côn trùng trên cây trồng.

3. Công nghiệp sản xuất vật liệu
- Lưu hóa Cao su (Vulcanization): Đây là quá trình quan trọng để chuyển cao su tự nhiên (mềm dẻo) thành cao su đàn hồi và bền bỉ hơn, được dùng để sản xuất lốp xe, ống dẫn, và các sản phẩm cao su kỹ thuật khác.
- Sản xuất Thuốc súng và Thuốc nổ: Lưu huỳnh là thành phần không thể thiếu trong thuốc súng đen truyền thống, đóng vai trò là chất kết dính và điều chỉnh tốc độ cháy.

4. Y tế và chăm sóc sức khỏe
- Thuốc da liễu: Nhờ đặc tính kháng khuẩn và kháng nấm nhẹ, Lưu huỳnh được sử dụng trong xà phòng, kem bôi và thuốc mỡ để điều trị mụn trứng cá, gàu, và một số bệnh lý da liễu khác như vảy nến, ghẻ.

IV. Độ an toàn và tác động môi trường của lưu huỳnh
Mặc dù Lưu Huỳnh đơn chất tương đối an toàn, các hợp chất của nó lại có tác động mạnh mẽ đến sức khỏe và môi trường:
- Khí SO2: Khí Lưu Huỳnh Dioxide sinh ra khi đốt Lưu Huỳnh hoặc nhiên liệu hóa thạch là tác nhân chính gây ra Mưa Acid (khi SO2 kết hợp với hơi nước trong khí quyển tạo thành H2SO4), gây hại cho cây cối, công trình xây dựng và môi trường nước.
- Khí H2S: Hydrogen Sulfide là một chất khí độc, có mùi trứng thối đặc trưng, gây nguy hiểm cho hệ thần kinh và hô hấp ngay cả ở nồng độ thấp.

V. Lưu ý an toàn khi dùng lưu huỳnh
Lưu Huỳnh đơn chất tương đối an toàn, nhưng các hợp chất chứa Lưu Huỳnh có thể cực kỳ nguy hiểm.

1. Đối với lưu huỳnh đơn chất ( bột)
| Lưu Ý | Chi Tiết |
| Hô hấp | Đeo khẩu trang khi xử lý Lưu Huỳnh bột để tránh hít phải bụi gây kích ứng đường hô hấp. |
| Nhiệt độ | Cẩn thận khi gia nhiệt Lưu Huỳnh. Ở nhiệt độ cao, Lưu Huỳnh lỏng có thể dễ bắt lửa. |
| Nơi cất giữ | Bảo quản nơi khô ráo, thoáng mát, tránh xa nguồn nhiệt và chất oxy hóa mạnh. |
2. Đối với hợp chất khí độc
Đây là mối nguy hiểm lớn nhất khi làm việc với Lưu Huỳnh:
- Lưu Huỳnh Dioxide (SO2): Sinh ra khi Lưu Huỳnh cháy. Khí này có mùi hắc, cay, gây khó thở, tổn thương phổi và đường hô hấp. Cần làm việc trong môi trường thông gió tốt hoặc dùng hệ thống hút khí.
- Hydrogen Sulfide (H2S): Thường sinh ra khi Lưu Huỳnh phản ứng với Hydro hoặc trong quá trình phân hủy. Khí này cực kỳ độc (nguy hiểm hơn cả HCN) và có thể làm tê liệt khứu giác, khiến nạn nhân không còn nhận biết được mùi trứng thối đặc trưng khi nồng độ cao.
Cảnh báo: Luôn sử dụng máy đo khí độc khi làm việc trong môi trường có nguy cơ phát sinh H2S (như hầm chứa, giếng dầu khí).
3. Đối Với Acid Sulfuric (H2SO4)
Vì Lưu Huỳnh là nguyên liệu chính sản xuất H2SO4, cần nắm rõ an toàn của acid này:
- Tính ăn mòn: H2SO4 là acid mạnh, gây bỏng nặng khi tiếp xúc với da, mắt. Luôn đeo kính bảo hộ và găng tay chịu hóa chất.
- Pha loãng: Phải luôn ĐỔ ACID VÀO NƯỚC (Acid-to-Water), KHÔNG ĐƯỢC LÀM NGƯỢC LẠI, để tránh nhiệt lượng tỏa ra đột ngột gây bắn tóe nguy hiểm.
Tóm lại, Lưu Huỳnh (S) là một phi kim cơ bản nhưng vô cùng thiết yếu. Qua bài viết này, chúng ta đã hiểu rõ về lưu huỳnh là gì, các tính chất hóa học độc đáo (thể hiện cả tính oxi hóa và khử) và vai trò không thể thay thế của nó. Từ việc tạo ra Acid Sulfuric – trụ cột của ngành hóa chất, đến ứng dụng trong nông nghiệp, y tế và sản xuất lốp xe, lưu huỳnh thực sự là “ngôi sao” ẩn mình của nền kinh tế hiện đại.
English